close







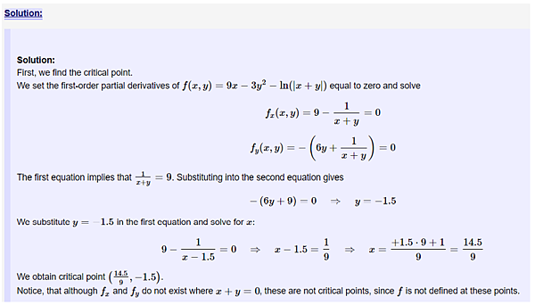
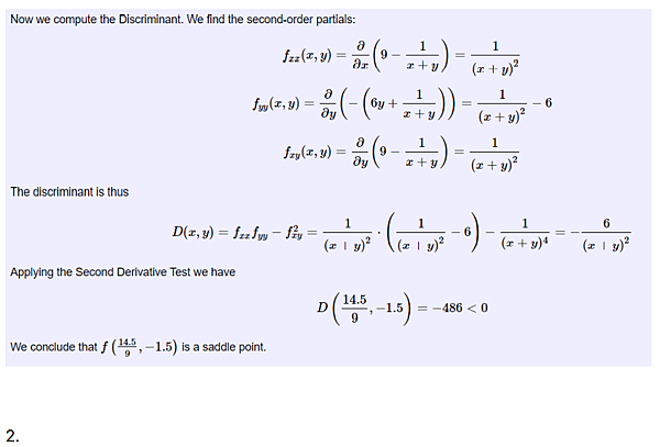
Find the critical point of the function [math].
[math]
Use the Second Derivative Test to determine whether it is
Consider the function [math].
In the following questions, enter an integer value or type INF for infinity.
(A) How many local minima does [math] have in [math]?
(B) How many local maxima does [math] have in [math]?
(C) How many saddle points does [math] have in [math]?
Note: You can earn partial credit on this problem.
| The figure shows the level curves of a function [math] around a maximum or a minimum [math]. One of the points P or Q has coordinates [math] and the other has coordinates [math]. Suppose [math] and [math]. Consider the two linear approximations to [math] given by [math] (a) What is the relationship between the values of [math] and [math]? (b) What are the coordinates of point P? (c) Is M a maximum or a minimum? (d) Is the sign of [math] positive or negative? (e) Is the sign of [math] positive or negative? |
Note: You can earn 60% partial credit for 3 - 4 correct answers.
Find the parabola of the form [math] which best fits the points [math], [math], [math] by minimizing the sum of squares, [math], given by [math]
[math]
文章標籤
全站熱搜

留言列表

