- Jun 26 Mon 2023 22:54
-
【STM32】Power Amplifier and Digital Signal Processing Implementation
- Jun 26 Mon 2023 21:34
-
【Signals and Systems】Chapter 8 National Taiwan University solutions 台灣大學 信號與系統 作業詳解
- Jun 26 Mon 2023 21:22
-
【Signals and Systems】Chapter 7 National Taiwan University solutions 台灣大學 信號與系統 作業詳解
- Jun 26 Mon 2023 21:12
-
【Signals and Systems】Chapter 6 National Taiwan University solutions 台灣大學 信號與系統 作業詳解
- Jun 26 Mon 2023 20:55
-
【Signals and Systems】Chapter 5 National Taiwan University solutions 台灣大學 信號與系統 作業詳解
- Jun 26 Mon 2023 20:44
-
【Signals and Systems】Chapter 4 National Taiwan University solutions 台灣大學 信號與系統 作業詳解
- Jun 26 Mon 2023 20:22
-
【Signals and Systems】Chapter 2 National Taiwan University solutions 台灣大學 信號與系統 作業詳解
- Jun 26 Mon 2023 20:07
-
【Signals and Systems】Chapter 3 National Taiwan University solutions 台灣大學 信號與系統 作業詳解
- Jun 26 Mon 2023 18:38
-
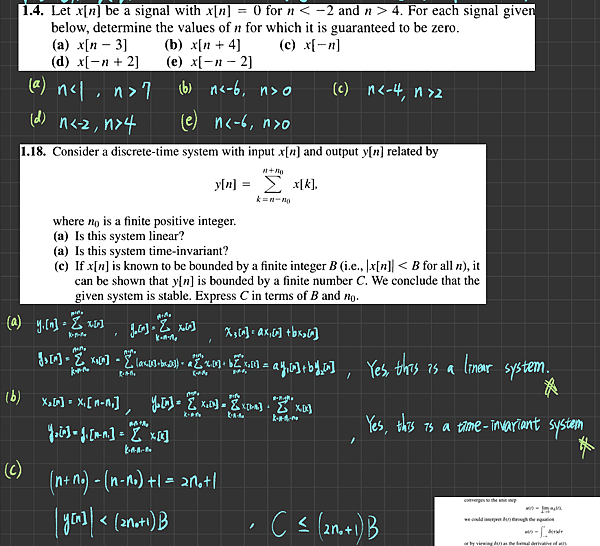
【Signals and Systems】Chapter 1 National Taiwan University solutions 台灣大學 信號與系統 作業詳解
- Sep 02 Fri 2022 22:15
-
【Material Mechanics】Chapter 8 National Taiwan University solutions 台灣大學 材料力學 作業詳解
- Sep 02 Fri 2022 22:06
-
【Material Mechanics】Chapter 6 National Taiwan University solutions 台灣大學 材料力學 作業詳解
- Aug 25 Thu 2022 15:54
-
【Material Mechanics】Chapter 7 National Taiwan University solutions 台灣大學 材料力學 作業詳解











