close

image

image

image

image

image

image

image

image

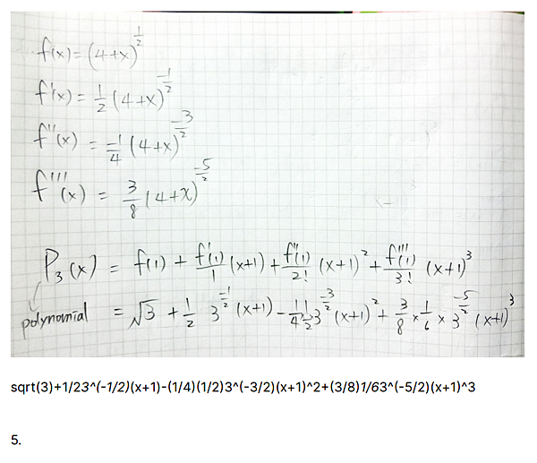
sqrt(3)+1/2*3^(-1/2)*(x+1)-(1/4)(1/2)3^(-3/2)(x+1)^2+(3/8)*1/6*3^(-5/2)(x+1)^3

image

image

 

image

image

 

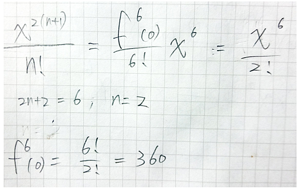
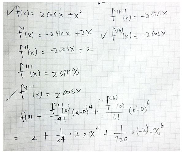
Compute the 9th derivative of f(x)=arctan(x33) at x=0. f(9)(0)= -4480 Hint: Use the MacLaurin series for f(x). Suppose that you are told that the Taylor series of f(x)=x2ex2 about x=0 is x2+x4+x62!+x83!+x104!+⋯. Find each of the following: ddx(x2ex2)∣∣∣x=0= d6dx6(x2ex2)∣∣∣x=0= Let f(x)=cos(4x2)−1x3. Evaluate the 9th derivative of f at x=0. f(9)(0)= -2064384 Hint: Build a Maclaurin series for f(x) from the series for cos(x). Find the Taylor polynomial of degree 3 around the point x=−1 of f(x)=4+x−−−−−√. P3(x)= Find the Taylor series about 0 for each of the functions below. Give the first three non-zero terms for each. A. 11+x3√= 1 + -3/6x^3 + 270/(720)x^6 +⋯ B. 2cos(x)+x2= 2 + 1/24*2*x^4 + 1/720*(-2)*x^6 +⋯ For each of these series, also be sure that you can find the general term in the series!
 
 
創作者介紹

Josephood7 發表在 痞客邦 留言(0) 人氣()