











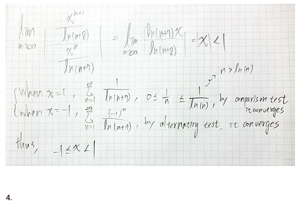
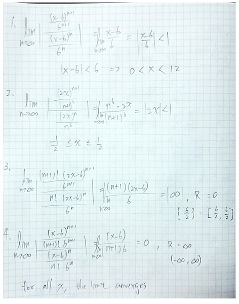
Consider the series ∑n=1∞(6x)nn. Find the interval of convergence of this power series by first using the ratio test to find its radius of convergence and then testing the series' behavior at the endpoints of the interval specified by the radius of convergence. interval of convergence = If ∑Cn(x−3)n converges at x=7 and diverges at x=10, what can you say about: Find all the values of x such that the given series would converge. ∑n=1∞xnln(n+7) Match each of the power series with its interval of convergence. C 1. ∑n=1∞(x−6)n6n A 2. ∑n=1∞(2x)nn6 D 3. ∑n=1∞n!(2x−6)n6n B 4. ∑n=1∞(x−6)n(n!)(6)n A famous sequence fn, called the Fibonacci Sequence after Leonardo Fibonacci, who introduced it around A.D. 1200, is defined by the recursion formula f1=f2=1,fn+2=fn+1+fn. Find the radius of convergence of ∑n=1∞fnxn. Consider the power series ∑n=1∞2⋅4⋅6⋅⋯⋅(2n)1⋅3⋅5⋅⋯⋅(2n−1)xn. Find the radius of convergence R. If it is infinite, type "infinity" or "inf". Answer: R=
留言列表

